煤岩拉伸扭转力加载装置是经过整合优化设计包含多模块和多功能(环境压力模拟装置、高、低温模拟装置)的霍普金森测试系统;主要用于混凝土、岩石类、泡沫铝、主要用于金属、非晶合金复合材料、碳材料、等样品在高速冲击下,不同应变率下、不同温度、不同环境压力条件下的动态力学特征参数的测试和表征,为相关工程材料的应用、开发、工程实际需求等提供丰富可靠的数据依托。
仪器名称 |
煤岩拉伸扭转力加载装置 |
仪器属性 |
测试类仪器 |
生产厂商 |
洛阳利维友科技有限公司 |
预约方式 |
穆朝民 |
电话 |
13095478013 |
邮件 |
[email protected] |
 图1 煤岩拉伸扭转力加载装置 (国家重点实验室大厅) |
仪器主要性能指标
具有多功能多尺寸分离式SHPB测试:
整合优化设计包含多模块(100、75、50、37、20、14.5、6、3mm)和多功能(环境压力模拟装置、高、低温模拟装置)。不同应变率下、不同温度、不同环境压力条件下的动态力学特征参数的测试和表征。
仪器的主要功能
能够开展多场耦合煤岩动态拉伸、扭转、剪切力学特性及变形破坏模式研究,从而实现煤岩体冲击动态强度、能量耗散、冲击加载波形、应变率效应及应力波传播特性等参数测试
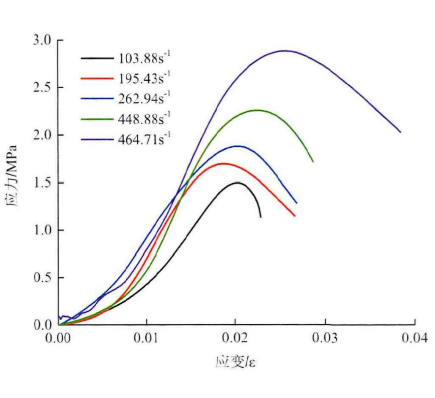
仪器测试的典型图像

图2 主要测试波形和图像
引用自文献:时本军 颗粒混凝土力学性能及隧道衬砌层抗爆性能研究[D].安徽理工大学,2021.DOI:10.26918/d.cnki.ghngc.2021.000434. (EI)