切缝药包超前预裂爆破厚硬顶板矿压与瓦斯综合防治试验研究
作者:
乔国栋1,2,刘泽功1,2,高魁1,周云权1,傅师贵1,2
单位:
1.安徽理工大学 足球分析预测
2.合肥综合性国家科学中心 能源研究院
01摘要
针对厚硬顶板导致高矿压、高位钻孔瓦斯抽采效果不佳的问题,通过爆破相似模拟试验与理论分析相结合的研究方法,对普通爆破与切缝药包爆破载荷作用下物模的宏观裂纹分布模式、损伤特征以及应变和应力的演化规律进行分析,对爆破弱化半径进行定量计算。结果表明:模型表面爆破裂纹分布差异显著;使用损伤度(D)及波降率(η)对岩石爆破损伤情况进行定量表征,发现切缝药包爆破比普通爆破造成的有效损伤范围更大;动态应变信号分析表明,切缝方向上应力波波阵面速度更快、强度更高,岩层受到的爆炸动载更强,测点的峰值应变及峰值应力均显著大于普通爆破。理论计算表明切缝药包爆破弱化半径(21.8 m)大于普通爆破(16.5 m),使用切缝药包超前预裂爆破厚硬顶板可以保障巷道稳定性,并且更具经济效益。研究成果为解决厚硬顶板条件下的矿压与上隅角瓦斯综合防治问题有着一定的指导意义。
02创新点
随着煤矿开采深度的增加,矿压问题凸显,同时面临高矿压、高瓦斯的矿井逐渐增多。然而现阶段对矿压和瓦斯治理方面的研究通常是割裂开来的。在面对厚硬顶板悬顶和上隅角瓦斯超限的实际工程问题时,探索一种兼顾瓦斯与矿压治理的新方法对于煤矿安全生产具有重要意义。鉴于此,研究团队提出了使用切缝药包超前预裂爆破技术对厚硬顶板进行弱化的方法结合高位瓦斯抽采钻孔同时解决矿压和瓦斯问题。与普通药包爆破相比,该方法的特点在于,在不增加炮孔数量及单孔装药量的前提下定向扩大爆破致裂范围,从而保障巷道安全、改善顶板冒落性、提高高位瓦斯抽采钻孔利用率、节约经济成本。本文以淮北煤电集团任楼煤矿ⅡN7224N工作面为工程背景,在实验室内开展普通药包与切缝药包超前预裂爆破对比试验,探索切缝药包爆炸荷载作用下厚硬顶板应力应变演化规律、岩层损伤分布特征。基于试验结果,计算工程现场中切缝药包的致裂范围,并对切缝药包超前预裂爆破顶板的炮孔布置参数进行了设计,评估其经济效益。
取得的主要成果如下:
(1)以淮北煤电集团任楼煤矿N7224N工作面为工程背景,使用量纲分析法推导出厚硬顶板预裂爆破相似准则。以此为基础,利用自研装置在实验室内开展了普通爆破与切缝药包爆破荷载作用下岩石动态响应规律的研究。
(2)使用损伤度D和波降率η对岩石损伤程度进行定量描述。分析表明,普通药包在爆炸近区造成的岩石损伤程度大于切缝药包,而随着爆心距增大,普通药包爆破能量迅速衰减,到达M3检测面的能量已经不足以对岩石造成破坏。相比而言,切缝药包能量衰减缓慢,对岩石损伤范围更大。
(3)在爆破近区,切缝药包在切缝方向上的爆炸波速度比普通爆破更快,测点的峰值应变与峰值应力也更大,表明切缝方向上的岩石会受到更强的爆炸动载。峰值应力拟合结果表明,峰值应力随
增大呈指数型衰减。切缝药包与普通药包爆破作用下峰值应力与
关系分别满足
和
。
(4)提出了一种基于相似模拟试验结果的爆破弱化硬岩范围的计算方法,计算可知工程现场中普通药包爆破的岩石弱化半径为16.5m,切缝药包爆破弱化岩石半径为21.8m,是普通药包爆破的1.32倍。使用切缝药包进行厚硬顶板预裂爆破可以有效增加岩石破裂范围,改善高位瓦斯钻孔抽采效果,与普通药包爆破施工成本相比具备一定的经济效益。
03部分图表

切缝药包爆破及致裂岩体原理

矿压与瓦斯综合防治示意

ⅡN7224N工作面岩性与模型示意(单位:cm)

相似材料参数力学测试

模型各参数布置(单位:cm)

超声波检测(单位:cm)

爆破宏观裂纹分布

各检测面损伤度及波降率

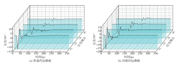
应变时程曲线

峰值应力衰减曲线

炮孔布置
第一作者介绍

乔国栋
安徽理工大学,安全科学与工程,博士生研究生。
研究方向:
矿井瓦斯灾害防治理论与技术,爆破安全,工程爆破。
主要成果:
主持安徽省教育厅高校科学研究项目1项、安徽理工大学研究生创新基金项目2项。参与国家重点研发计划课题1项、国家自然科学基金项目3项、华能集团总部科技项目1项。以第一作者/通讯作者在《中国矿业大学学报》、《采矿与安全工程学报》、《International Journal of Coal Science & Technology》、《Computers & Structures》等期刊发表学术论文11篇。担任Scientific Reports、Energy Science & Engineering等期刊审稿人。
通讯作者介绍

刘泽功
工学博士,二级教授,博士生导师,原安徽理工大学副校长、蚌埠足球分析预测
党委书记,安徽省矿业工程A类重点学科带头人,安徽省安全技术及工程重点学科带头人,首批安徽省学术与技术带头人,安徽省教学名师。国家科技进步奖评审专家,公共安全科学技术学会理事,煤炭工业技术委员会通风与瓦斯煤尘防治专家委员会委员,教育部高等学校安全工程教学指导委员会委员,安徽省煤炭学会副理事长,安徽省煤炭学会通风专业委员会主任委员。享受国务院特殊政府津贴。在国内外权威期刊发表学术论文200余篇,授权中国发明专利20余件,出版著作和教材7部,获国家科技进步二等奖2项、国家能源科技进步一等奖1项,安徽省科学技术进步一等奖3项、中国煤炭工业协会科学技术一等奖2项,获安徽省教学成果特等奖1项、一等奖2项,获安徽省第六届青年科技奖。
研究方向:
煤矿瓦斯防治理论与技术,矿山通风安全理论与技术。
主要成果:
围绕我国煤矿生产中的重大安全问题,特别是煤矿瓦斯防治技术领域进行了深入的科学研究。先后主持完成了国家自然基金面上和重点项目,国家重点基础研究发展计划(973计划),“十五”国家重点科技攻关、“十一五”国家支撑计划和国家重点研发计划等国家重大项目(课题),探索出了煤矿采场顶底板煤岩层移动、裂隙发育特征以及瓦斯在采场岩体裂隙中的流动规律,发现了开采煤层顶板“环形裂隙圈”及其形成机理,证实了“环形裂隙圈”就是瓦斯富集区,发明了“环形裂隙圈走向长钻孔法或巷道法”瓦斯抽放方法,成功地解决了淮南矿区低透气性高瓦斯煤层安全开采技术难题,使矿区二十多年来避免了瓦斯事故,百万吨煤死亡率降低到国际发达采煤国家的水平,研究成果已在全国推广应用。针对我国深井高瓦斯低透气性煤层揭煤难,事故频发的难题,在传统的井巷揭煤防治瓦斯技术的基础上,提出深井高瓦斯低透气性煤层揭煤“快速消突”防治瓦斯灾害的科学构,发明了用于煤矿深孔爆破卸压抽采瓦斯药柱,研究成功原始煤层爆破强化增透,松动煤体卸压瓦斯抽采,煤体加固,保护圈外拦截抽采瓦斯,先治瓦斯后揭煤的成套技术与装备,实现深井高瓦斯低透气性煤层安全高效揭煤,安全快速揭开1000多个强突出煤层,无事故发生。研发的煤矿许用定向聚能爆破药柱,成功的在煤矿巷道切顶护巷、切顶留巷和回采工作面过断层中广泛应用。
本文引用格式:
乔国栋,刘泽功,高魁,等. 切缝药包超前预裂爆破厚硬顶板矿压与瓦斯综合防治试验研究 [J].中国矿业大学学报,2024,53(2):334-345.
QIAO Guodong,LIU Zegong,GAO Kui,et al. Experimental study on the control of mine pressure and gas governance in thick and hard roof by pre-blasting of slotted cartridge[J]. Journal of China University of Mining & Technology,2024,53(2):334-345.