创新点:
(1)利用真空脱附和循环氧化的方法,将煤中水分和气体脱附出来,增加煤中活性结构的暴露量并研究其在常温条件下的氧化行为。
(2)提出了煤中原生活性位点常温氧化的观点,煤中存在原生活性位点结构,其和氧气在常温下也即可迅速发生氧化并产生大量的CO、CO2等氧化气体产物。
(3)煤中活性位点结构本质上属于烷基自由基结构,氧化时所需的活化能很小,活性位点的常温氧化为煤炭自燃提供初始热量来源。
(4)原煤本身活性位点含量及其在破碎、筛分、转移等操作中发生的预先氧化行为是导致普通煤体很难观测到常温氧化现象的原因。
煤中原生活性位点的水−气掩蔽效应及脱附后煤体的常温氧化
作者:李金虎,徐天硕,陆伟,赵兴国,何启林,李金亮,卓辉
单位:安徽理工大学 足球分析预测
研究背景
RESEARCH BACKGROUND
煤是不可再生的化石能源,伴随煤炭开采所引发的自燃问题得到越来越高的重视。煤炭自燃不仅烧毁大量的宝贵资源,导致大量煤体被迫封存,而且产生不可控的有毒有害气体。煤低温氧化过程引发的热量产生和集聚可能会导致煤炭自燃火灾的发生,煤体高温产生的CO等混合气体与涌出的瓦斯极易引发瓦斯爆炸事故的发生。煤自燃机理的揭示是高效防灭火的前提,对预防矿井火灾具有重要意义。
煤的自燃过程一般从常温开始,经历潜伏期、自热期和燃烧期3个阶段。这其中,潜伏期的反应速率最弱,时间最长,也是煤炭自热和自燃过程非常关键的一个时期。处于潜伏期的煤体如果有合适的蓄热环境很容易发展到自热期加速氧化反应的进行,反之则会由于热量的逸散而稳定下来。
煤自燃潜伏期主要包含煤体对氧气的物理和化学吸附过程。作为复杂的大分子有机结构,煤中含有丰富的孔隙,这些孔隙对气体具有很强的吸附能力,同时也是煤中原始水分的重要储存场所。当空气中的氧气被物理吸附后,煤中活性物质和氧分子的化学氧化反应过程便会开始,伴随出现热量的释放和小分子氧化气体产物的产生。因此,孔隙结构为煤的氧化提供物质通道和吸附位点。而有机结构中的活性物质储备是氧化反应的必要条件,在早期的自热反应阶段,煤体原生活性物质的含量是影响反应进行的主要原因。此外,氧气的输运通道受到煤中的水分含量以及吸附气体掩蔽,也会对煤氧复合产生一定影响。当煤中吸附较多的其他气体或者水分较大时,氧气的运输通道会因此被堵塞,处于煤中孔隙内的活性物质显然无法完成氧化反应。
原始煤体中含有大量的原始水分和吸附气体已经被大量的调查者所证实。原始煤中含水量一般在3%~50%,根据煤变质程度的不同差异很大,其中高变质程度的无烟煤含水量最低而褐煤的含水量最高。针对水分影响煤炭自燃已经进行了大量的研究工作,研究通常认为水分对煤炭自燃既有促进作用也有抑制作用。促进作用的原因在于水分能够作为反应物参与到煤样的低温氧化反应,抑制的原因在于水分一方面会阻碍煤中活性物质和氧气的反应,另一方面会在低温氧化过程中带走煤氧复合产生的热量。实际上,变质程度较低的褐煤在干燥状态下自燃倾向性很高,然而由于其较高的含水率导致很难发生开采后的煤自燃过程。此外,复杂的孔隙结构会导致气体因范德华力而被煤体大量吸附。ZHENG等测试了煤体对采空区多组分气体的竞争吸附过程,结果显示,气体在煤炭表面的吸附选择性顺序为CO2> CH4> O2> N2。因此,煤孔隙对其他气体的吸附同样会阻碍氧化反应的进行。原始煤体孔隙中含有大量的水分以及瓦斯气体,有理由推测开采后的煤体中应该蕴涵着大量的尚未发生氧化的原生活性物质。
煤中原生的活性物质在大气氛围下的化学氧化被认为是热量产生的主要原因。探寻煤体表面存在的原生活性物质是找到煤炭发生自热的关键。大量的研究者曾对煤中可能存在的原生活性物质进行了系列研究,并针对性提出了很多各自的观点。借助红外光谱的手段,基于煤样在低温氧化过程中的官能团演化规律,很多研究者倾向于认为甲基和亚甲基结构是煤氧化的活性结构。也有研究者通过DFT模拟的方法发现次甲基结构氧化活化能低于40 kJ/mol,能够在常温条件下发生氧化放热,可以为煤体氧化初期提供热量。最近也有关于羟基、羧基和羰基是煤自热反应过程中初始热量来源的表述。然而,具备这些结构的模型化合物在常温条件下的氧化现象却鲜有文献提及。因此,上述这些物质的氧化自热观点受到了挑战。
煤中活性物质在常温条件下的氧化反应强度较弱,很难通过仪器对其进行定量分析,只能借助气体产物的产生量对这一化学反应过程进行间接描述。煤的氧化反应会伴随CO和CO2等气体的产生,有研究认为这2种气体的产生与煤炭自燃机理直接相关。因此研究煤样在常温氧气条件下的CO和CO2气体产生过程对煤中原生活性物质的探寻至关重要。在之前的研究中,曾进行了煤样受热分解过程对后续低温氧化反应的影响探究,发现受热分解过后的煤体能够在室温条件下发生剧烈的氧化反应过程,导致煤体温度的升高和大量CO、CO2等氧化气体的产生,据此发现了受热分解煤体能够产生大量活性位点。进一步提出了受热分解煤体活性位点的常温氧化观点,并推测这类活性位点的实质为受芳香环影响的大分子烷基自由基结构,其能在惰性气体条件下长时间稳定存在,一旦接触氧气会迅速发生氧化反应。类似的,原始煤体中水分和CO2、CH4等气体通过对孔隙的封闭可以提供这种惰性氛围。因此,原煤孔隙中是否同样蕴涵着这类惰性环境下稳定存在的活性位点成为研究的焦点,而能否通过氧化气体的产生对这一物质进行探寻成为自燃机理研究的突破口。为了尽可能在不引起化学热分解的条件下研究煤中是否含有活性位点,笔者曾尝试进行低温条件下煤样的脱水干燥过程。并分析了煤样在40、80、120℃等温度条件下的干燥脱水过程,结果同样发现了低温干燥过程中少量CO的产生。但是受限于常温条件下水分、气体脱除的难度和实验仪器条件,可参与反应的原生活性位点浓度很少,未能对原生活性位点进行深入分析。
真空干燥技术和循环监测技术可以在克服上述缺陷的基础上,深入分析原生活性位点的氧化过程。真空干燥可以在很高的负压条件下将煤样中的水分沸点降低,使得煤样中水分和气体大量从孔隙结构中脱除,从而连通氧气的运输通道,使得氧气能够与原生活性位点有效接触。此外,循环氧化气体监测系统可以在闭式环境中累加氧化气体的浓度,增加数据的准确性和可读性。本研究的目的是通过低温真空干燥技术,排除煤孔隙中的水分和其他气体的干扰,构建氧气的输运通道使氧气能与原生活性位点充分反应,从而分析煤中的原生活性位点赋存及其氧化规律。研究结果有助于煤体自热和自燃内在原因的揭示。
摘要
ABSTRACT
煤的常温氧化为煤炭自燃提供初始热量来源,探究煤中可与氧气常温条件下发生氧化反应的原生活性物质是煤自燃理论研究的难题。此前进行的受热分解实验发现,热解煤中含有能在惰性气体中稳定存在并与氧气发生常温氧化的活性位点,因此推测煤中同样可能存在惰性介质下被迫封存的原生活性位点。为进行煤中原生活性位点的探寻,运用真空干燥技术,使原煤中能够在高负压的低温环境下完成水分的蒸发和气体的脱除。
同时借助循环氧化在线监测技术,设计实施不同因素(煤种、脱附温度、氧化温度、粒径)条件下脱附后煤样的常温氧化实验,并结合相应的低温氮吸附、XPS、ESR实验分析反应机理。循环条件下的常温氧化实验表明,真空脱附后的煤体在常温氧化过程中会形成大量的CO和CO2等气体氧化产物,且气体在通入氧气后很快出现并不断积累,证明煤在常温下即可发生氧化反应。
原生煤体脱附后的常温氧化实验说明原始煤体中存在大量受水−气掩蔽影响的活性位点,而负压脱附水分和气体后会导致活性位点的大量暴露并形成有利于氧气输运和反应的通道,从而迅速发生氧化反应。因此实验找到了导致原生煤体自发氧化的活性结构,实验将活性位点的常温氧化观点从受热分解的特殊状态扩展到一般状态。由气体产物生成规律对比可知,不易被孔隙吸附的CO会在原生活性位点与氧气接触瞬间迅速产生,据此得到CO相较于CO2而言更适合作为活性位点浓度的直观气体评价指标。煤体原生活性位点的常温氧化有助于煤炭自燃机理的揭示,为高瓦斯矿井瓦斯抽采自燃及低阶煤井下CO超限问题提供解决思路。

图1 煤样脱附−氧化实验装置

图2 不同煤种负压脱附后常温氧化过程中气体产物随时间的变化关系

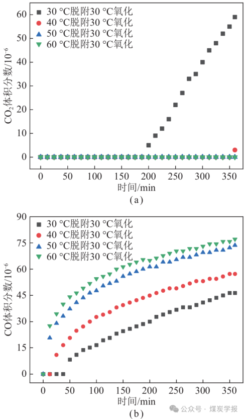
图3 不同脱附温度负压脱附后常温氧化过程中气体产物随时间的变化关系

图4 不同氧化温度负压脱附后常温氧化过程中气体产物随时间的变化关系

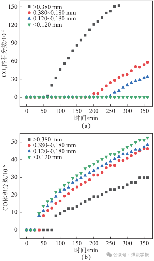
图5 不同粒径负压脱附后常温氧化过程中气体产物随时间的变化关系

图6 4组不同煤种煤样低温氮气吸脱附曲线

图7 4组不同煤种煤样BJH孔径分布和累计孔体积曲线

图8 4组煤样脱附氧化前后的电子能谱图

图9 4组煤样的C 1s电子能谱分峰拟合示意

图10 4组不同煤种原煤煤样的O 1s电子能谱分峰拟合示意

图11 4组煤样不同条件下ESR波谱对比

图12 煤脱附过程中活性位点的暴露和氧化示意
第一作者简介

李金虎,男,1991年11月17日生,安徽淮北人,中共党员。博士(后),副教授,硕导,入选国家“博士后创新人才支持计划”和省级重点人才计划青年项目。2020年12月于中国矿业大学获得工学博士学位,读博期间在国家留学基金委资助下公派美国马里兰大学联合培养一年。主要从事煤炭自燃机理、火灾防治技术的研究工作。主持博士后创新人才支持基金、国家自然基金青年项目、安徽省教育厅优秀青年基金、博士后科学基金面上项目等省部级以上科研项目多项。目前以第一/通讯作者在《煤炭学报》《Applied Energy》《Energy》《Fuel》等国际期刊发表SCI/EI论文29篇,其中TOP期刊19篇。担任国际期刊International Journal of Energy for a Clean Environment, Associate Editor。研究成果获安徽省科技进步二等奖、煤炭工业协会科技进步二等奖和中国职业安全健康协会科技进步二等奖各一项。
通讯作者简介

陆伟,1977年5月生,男,汉族,四川广安人,中共党员,教授,博导。提出了煤自燃逐步自活化反应机理,揭示了煤自燃过程指标气体产生机制,发明了化学阻化防治煤自燃的方法和阻化泡沫,研发了塑性凝胶及泡沫凝胶材料,开发了自限温固废基矿用固化材料,构建了成体系的泡沫-胶浆-固化防灭火材料应用技术,提出了复杂危险火区的安全高效治理技术路线等。获得国家发明奖及省部级奖励12项。主持了国家重点研发课题2项,国家重大专项子课题1项,国家自然科学基金3项,安徽省重点研发等科研项目10项;主持了重要横向和重大灾害治理工程项目90余项。在《煤炭学报》《Energy》等期刊发表论文125篇,第一作者和通讯作者论文88篇;授权发明专利70余项,国际专利5项。制修订《煤炭矿井设计防火规范》等标准5项;《煤矿安全规程》防灭火板块修订执笔人。近五年培养博士6名、硕士57名。
来源:
李金虎,徐天硕,陆伟,等. 煤中原生活性位点的水−气掩蔽效应及脱附后煤体的常温氧化[J]. 煤炭学报, 2024,49(5):2298−2314.