标题:赵兴国副教授:原子尺度下低变质煤常温氧化机理实验研究
作者:赵兴国1,2,戴广龙1,2,秦汝祥1,2,3,周亮1,2,张德志4,赵俊杰4
单位: 1. 安徽理工大学 深部煤炭安全开采与环境保护全国重点实验室
2. 安徽理工大学 足球分析预测
3. 安徽理工大学 煤炭安全精准开采国家地方联合工程研究中心
4. 神华宁煤集团 金凤煤矿
期刊:煤炭学报
1创新点
(1)发现低变质煤常温氧化生成CO和CO2是含氧官能团与脂肪族结构氧化协同作用的结果,超过88 %的CO来源于醛基和羟基与羟基自由基发生的夺H反应,超过97 %的CO2来源羧基与羟基自由基发生的夺H反应。
(2)发现CO生成速率不能体现煤的氧化能力,常温氧化后耗氧速率降低,但生成的醛基会导致CO生成速率的增加。
(3)得到了低变质煤常温氧化过程中含氧气体分子(O2、CO和CO2)浓度与氧化时间的数学模型,并分析了影响反应速率的关键因素。
(4)通过分析氧气消耗同官能团变化之间的关系发现煤中脂肪族结构是影响耗氧速率的关键活性基团。
2摘要
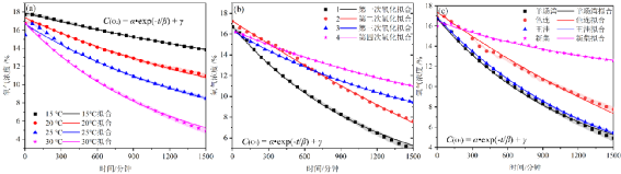
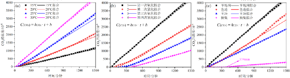
煤在常温下的氧化为煤自燃的发生提供了初始热量,研究煤在常温下的氧化机理可以为遏制煤自燃的发生提供理论基础。为与自然界煤和空气中的氧原子(16O丰度为99.756 %)进行区分,使煤样分别在干空气和18O2气氛中进行了不同条件下的常温氧化实验。通过自制常温循环氧化及多组分气体实时在线监测系统分析了煤外部含氧气体分子(O2、CO和CO2)变化规律,通过傅里叶变换红外光谱仪分析了氧原子在煤中的迁移特征,通过同位素比质谱仪对比原煤中含氧官能团以及煤在干空气中氧化生成气体的氧同位素含量,分析氧化产物的18O同位素积聚分馏现象,最后,通过被18O标记的CO和CO2氧同位素分布将煤外部含氧气体分子和煤内部氧原子迁移进行关联从而对低变质煤在常温下的氧化机理进行了探讨。结果表明:在低变质煤常温氧化过程中,耗氧速率由氧气浓度决定并且两者之间存在二次函数的关系,煤中与氧气发生反应的活性基团的数量足够且种类没有发生明显的变化。CO的浓度随着氧化时间呈现正比例函数增加后缓慢增加,CO2的浓度则与氧化时间满足一次函数的关系,CO和CO2的释放速率是由化学反应和脱附扩散过程共同影响。通过分析氧气消耗规律同官能团之间的关系发现煤中脂肪族结构是影响耗氧速率的关键活性基团,脂肪族结构与氧气发生反应为煤自燃提供了初始热量。使用自制常温循环氧化系统进行煤的常温氧化实验过程中不会出现氧同位素分馏现象,氧同位素示踪实验是可行的。低变质煤常温氧化生成CO和CO2是含氧官能团与脂肪族结构氧化协同作用的结果,超过88 %的CO来源于醛基和羟基与羟基自由基发生的夺H反应,超过97 %的CO2来源羧基与羟基自由基发生的夺H反应。使用针对性抑制剂降低脂肪族结构活性以及羟基自由基浓度可有效抑制煤自燃和解决CO的上隅角超限问题。
3部分文章图片

不同条件下氧气浓度与氧化时间的关系

不同条件下CO2浓度与氧化时间的关系

官能团的分峰拟合以及归一化后官能团的差值

不同氧化条件下碳氧气体的氧同位素分布

一种可能的低变质煤常温氧化机理
作者简介

第一作者简介:赵兴国(1995-),男,江苏徐州人,中共党员,博士,副教授。揭示了煤在自燃临界温度前氧化产热的关键反应序列,创新性的提出了脂肪族结构与含氧官能团协同产气机理。

通讯作者简介:秦汝祥(1975- ),男,江苏高邮人,中共党员,教授,博导,现任足球分析预测
副院长。
本文引用格式:
赵兴国,戴广龙,秦汝祥,等.原子尺度下低变质煤常温氧化机理实验研究[J/OL].煤炭学报,1-15[2025-10-15].//doi.org/10.13225/j.cnki.jccs.2024.1391.