多视窗多功能气体粉尘液雾爆炸抑爆实验系统依据国家标准GB/T16426-1996《粉尘云最大爆炸压力和最大压力上升速率测定方法》,应用嵌入式控制技术,集精密机械加工技术、高速压力检测技术、无线数传技术及计算机技术于一体,具有结构紧凑、运行稳定、界面美观、操作简单、测量精度高等特点,实现试验过程全自动化控制,是各类科研部门试验室测试可燃气体、粉尘、液雾爆炸参数或抑爆能力的理想设备。
仪器名称 |
多视窗多功能气体粉尘液雾爆炸抑爆实验系统 |
仪器属性 |
测试类仪器 |
生产厂商 |
吉林市宏源科学仪器有限公司 |
预约方式 |
江丙友 |
电话 |
15955413831 |
邮件 |
[email protected] |
 图1 多视窗多功能气体粉尘液雾爆炸抑爆实验系统 (百川楼C501房间) |
仪器主要性能指标
1. 压力测量范围:爆炸压力:0~4MPa(绝压);样品仓压力:0~4MPa(绝压);配气压力:0~1MPa(绝压),精度:0.1%FS
2. 爆炸容器温度测控范围:室温~200℃,分辨率:1℃
3. 样品仓温度测控范围:室温~50℃,分辨率:1℃
4. 火焰温度检测范围:0~1350℃,分辨率:1℃
5. 爆炸压力采样时间间隔:0.2ms,最大采样时间:6S
6. 搅拌方式:100ms快速搅拌
7. 冷却方式:自然冷却
8. 爆炸室容积:20L(双层316不锈钢球体)
9. 粉尘仓容积:0.6L(数控充压)
10. 点火方式:化学点火;高压脉冲点火
11. 配气路数:6路真空比例配气,配气精度:±0.1%。
12. 进样方式:粉尘(自动);气体(自动);液体(自动)。
13. 电源功率消耗:2000W。
14. 使用电源:AC220V±10%,50Hz±2Hz。
15. 使用环境:温度:10~35℃;湿度:30%~80%RH。
仪器的主要功能
本试验装置由微型计算机控制系统、爆炸容器(20L球)、抽真空系统、自动点火装置、自动配气系统、无线数传系统、氧浓度检测系统、细水雾系统和计算机监控系统等组成。
该装置可以测定以下参数:
1. 空气中可燃气体爆炸指数(包括气体最大爆炸压力,气体最大压力上升速率)。
2. 空气中可燃气体爆炸上下限。
3. 粉尘云最大爆炸压力,最大压力上升速率。
4. 粉尘云爆炸上下限浓度。
5. 液雾气溶胶最大爆炸压力,最大压力上升速率。
6. 抑爆材料及方法的评定。
仪器测试的典型图像

图2 控制系统自动生成容器压力(绝压)/时间/温度曲线图

图3 控制系统自动生成容器压力(绝压)/时间/温度曲线图

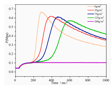
图4 添加不同质量分数MPP的聚丙烯爆炸压力-时间进程图
引用自文献:王 保、江丙友、苏明清、杨炳辉,等.三聚氰胺聚磷酸盐抑制聚丙烯粉尘爆炸研究[J].消防科学与技术,2022,41(03) :291-295.

图5 爆炸压力变化趋势图
引用自文献:Li junWei, Mingqing Su, et al. Suppression effects of ABC powder on explosion characteristics of hybrid C2H4/polyethylene dust. Fuel. (2021).