用于各类可燃气体、粉尘的爆炸参数及抑爆能力的监测,能够采集实验过程管道压力和光强信号,可显示压力-时间曲线、光强曲线、温度曲线以及各通道通过电信号转换的实际数据,用户可以保存数据,以EXCEI格式导出,以便使用ORIGIN等工具绘图分析管道内最大爆炸压力、最大爆炸压力上升速率、压力-时间曲线、最大光强曲线以及最大温度曲线等;同时,该仪器可对气体爆炸过程中火焰的前锋到达时间进行监测,分析计算火焰传播速度等。该仪器还可以进行可燃气体、粉体的抑爆实验。
仪器名称 |
管道燃气爆炸控制及多参数采集系统 |
仪器属性 |
测试类仪器 本仪器为固定仪器,接受预约测试 |
生产厂商 |
安徽理工大学 |
预约方式 |
江丙友 |
电话 |
15955413831 |
邮件 |
[email protected] |

图1 管道燃气爆炸控制及多参数采集系统实物图 (百川楼C501房间) |
仪器主要性能指标
1. 不锈钢爆炸管道:钢管内径80mm×80mm,壁厚10mm,管长4m,整体耐压4.5MPa;
2. 综合控制及高速动态采集仪装置:采用计算机无线监控(禁止使用无线局域网,防止系统受到网络攻击),数据无线传输,人机分离,确保试验者人身安全,可同步采集并存储18通道模拟信号,提供24V直流电源输出,输入信号包括0-20mA、0-5V;同步数据采样间隔100-200us,采样深度12s,采样率15kHz;提供监控软件,可绘制各通道数据曲线,并将各通道数据换算为实际的压力、温度等数据并转存的EXCEL中;具有配气控制功能,可控制外部8路配气;具有2路同步触发信号输出功能,可同步触发外部功能模块;
3. 高速纹影仪:光源为卤钨灯,焦距为6.0m,主凹面反射镜直径320mm,镀铝反射硬膜,玻璃毛坯经过精密退火,应力不大于2级,加工后面形误差≤λ/8,狭缝和刀口可三坐标调节,精度0.01mm,系统高度可根据实际情况调节;
4. 爆炸压力传感器7支:量程0~2.1MPa(绝压),精度0.001MPa,压力传感器频响15kHz,95%置信,供电电压24VDC,输出5~20mA,抗静电响应时间在毫秒级以下;爆炸火焰高速温度传感器7支:量程0~1350度,供电电压24VDC,输出0~5V,响应时间0.5ms,工作温度0-400℃,耐压6.5MPa;爆炸火焰光电传感器10支:供电电压24VDC,输出0~5V,响应时间30us,瞬间耐温1600℃,无灼蚀,耐压6.5MPa。
仪器的主要功能
1. 可应用于各类科研部门实验室可燃气体爆炸参数及抑爆能力的测试。
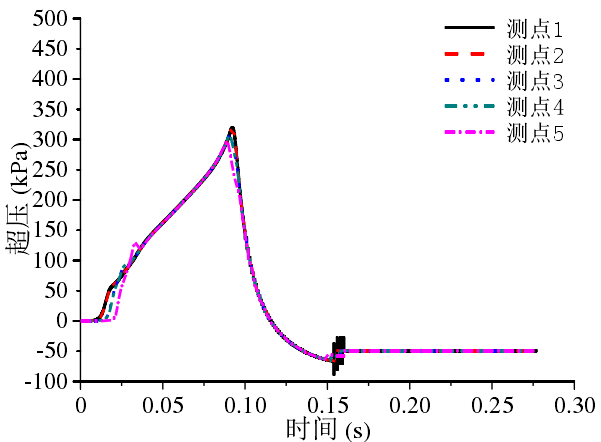
仪器测试的典型图像

图2 不同测点下压力-时间曲线
引用自文献:江丙友.瓦斯爆炸多参数时空演化及气固射流幕抑爆特性[D].中国矿业大学,2014.

图3 各测点火焰传播速度曲线
引用自文献:江丙友,刘泽功,林柏泉.开口钢管内甲烷爆炸火焰厚度和压力发展特征[J].中国安全生产科学技术,2015,11(09):5-10.